• Merhaba, Kadınlar Kulübü'ne ÜCRETSİZ üye olarak yorumlar ile katkıda bulunabilir veya aklınıza takılan soruları sorabilirsiniz.

KPSS-A 2014 günlüğüme beklerim kızlar***

tarih bende de yük gibiydi ama çalıştıkça insan kokusunu yeniyor canım.
tüm konular bitincede hergün bi deneme yap kendine çok faydasını görürsün.
anayasad bende bakınacağım.eğer bulursam haber veririm :34:

canım zaten okul vastasıyla illaki bişeyler öğreniyorsun o yüzden sıkma canını,seneye bomba gibi hazırlanırsın :34:
fırsat buldukça uğrarım :9:
bende biraz tarih çalışıp,maliye bakacağım bugün :31:

kolay gelsin canım. ben de kahvemi yapıp derse başlayayım artık :ssz: :10:
 
tee pazartesi günü tarih soru bankası siparişi verdim ve daha bugün kargoya verildi :47: tarih soru bankam olmadığı için sadece konuyu çalışıp sonundaki 1-2 testi çözmek yeterli gelmiyor :50: bol bol soru çözmem lazım ama çözemiyorum sayelerinde :47:
 
Merhaba kızlar herkese kolay gelsin. KPSSzede olarak gene sınava hazırlanıyorum, içim şişti valla.

B grubu için hazırlanıyordum ama bir şey soracağım. A grubunda sadece Lisans bölümü grubunuzdan mi sorumlu oluyorsunuz yoksa bütün oturumdaki ana başlıklardan mı sorumlu olunuyor ( Hukuk, Muhasebe ÇEKO nun tamamından yani)
 
Merhaba kızlar herkese kolay gelsin. KPSSzede olarak gene sınava hazırlanıyorum, içim şişti valla.

B grubu için hazırlanıyordum ama bir şey soracağım. A grubunda sadece Lisans bölümü grubunuzdan mi sorumlu oluyorsunuz yoksa bütün oturumdaki ana başlıklardan mı sorumlu olunuyor ( Hukuk, Muhasebe ÇEKO nun tamamından yani)

cumartesi sabah gy-gk oturumumuz var. pazar sabah: iktisat,hukuk,maliye,işletme,muhasebe oturumu, pazar öğleden sonra: çeko,ekonometri,kamu,uluslararası iliş.,istatistik oturumu var. istediğimiz oturuma girebiliyoruz.
 
Tesekkurler kitapkokusu. Benim merak ettigim oturumun tamamini cozmek zorunda olup olmadigimizdi. Hepsi gerekiyorsa bunlara ayrica bir yil lazim :S

Yok tek alan yetiyorsa sadece kendi alanimdan girebilirim bir tekrar yeterli gibi.
 
Tesekkurler kitapkokusu. Benim merak ettigim oturumun tamamini cozmek zorunda olup olmadigimizdi. Hepsi gerekiyorsa bunlara ayrica bir yil lazim :S

Yok tek alan yetiyorsa sadece kendi alanimdan girebilirim bir tekrar yeterli gibi.

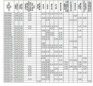
her puan türünde derslerin ağırlıkları değişiyor. daha önceki sayfalarda paylaşmıştım zaten puan türlerini ama tekrar paylaşıyorum.
$kpss puan türleri 1.webp $kpss puan türleri 2.webp $kpss puan türleri 3.webp
 
sonunda tarih soru bankam geldi :27: o zaman bugün tarih günü olsun :24: tarihle aramızdaki bu husumeti bitirmekte kararlıyım :ssz: kork benden tarih :47:
 
acaba konunun içeriği isminden ve şimdiye kadar yazılan o kadar mesajdan belli olmuyor mu? biz burada derslerle ilgili linkleri bile vermemeye çalışıyoruz. konu gayet açık ve net KPSS-A grubu! kimse burda iş arıyorum yardım edin vs demedi. kaldı ki konumuzun bulunduğu sayfa eğitim-sınavlara ait. yani iş bulmayla alakalı değil. :34:
 
Selamlar :16:
Uzun zamandır girememiştim gruba, dersane çok yordu beni :27:
Çalışmalar ne alemde sizlerde?
Ben bugün coğrafya çözdüm bol bol, bir soru bankam bitmek üzere. 2 kaynağım daha var :31:
Tarihte inkılaba geçtik ama ben Osmanlı'yı hiç anlamadım var mı Osmanlı tarihi için bir çalışma yönteminiz :29: Aklımda tutamıyorum off:96:
Matematik Türkçe'de sorun yok Allaha şükür :16:
 
Selamlar :16:
Uzun zamandır girememiştim gruba, dersane çok yordu beni :27:
Çalışmalar ne alemde sizlerde?
Ben bugün coğrafya çözdüm bol bol, bir soru bankam bitmek üzere. 2 kaynağım daha var :31:
Tarihte inkılaba geçtik ama ben Osmanlı'yı hiç anlamadım var mı Osmanlı tarihi için bir çalışma yönteminiz :29: Aklımda tutamıyorum off:96:
Matematik Türkçe'de sorun yok Allaha şükür :16:

hoş geldin yasemin :3:
tarihe odaklanmaya çalışıyorum ben de canım ama çok soru çıktığı için öncelikli olarak Atatürk ilke ve inkılaplarını bitirdim. Osmanlıda çok sıkılıyorum ne yazık ki :50: ama çalışırken elimin altına kağıt alıyorum bazı bilgileri yazıyorum sonra her alt başlıktan sonra kendi kendime anlatıyorum, sebeplerini anlayarak aklımda tutmaya çalışıyorum. daha çok ders çalışmamak için bahane üretiyorum tabi :17:
 
hoş geldin yasemin :3:
tarihe odaklanmaya çalışıyorum ben de canım ama çok soru çıktığı için öncelikli olarak Atatürk ilke ve inkılaplarını bitirdim. Osmanlıda çok sıkılıyorum ne yazık ki :50: ama çalışırken elimin altına kağıt alıyorum bazı bilgileri yazıyorum sonra her alt başlıktan sonra kendi kendime anlatıyorum, sebeplerini anlayarak aklımda tutmaya çalışıyorum. daha çok ders çalışmamak için bahane üretiyorum tabi :17:

Canım inan ki çalışıyorum ertesi gün unutuyorum, ne zormuş Osmanlı tarihi :50:
Atatürk'ten sonrasını anlıyorum, aklımda da kalıyor, ama nedir bu Osmanlıya karşı önyargım. Zaten derse başlarken kesin aklımda tutamam diye başlamıştım. Sınava bir ay kala falan hocanın tutturduğu notları okumayı düşünüyorum. Başka türlü olmayacak. Bi de bol soru çözmek lazım işte :10:
Yazarak çalışmak vakit kaybettircek bana, zaten derste yazıyorum. Bi de eve gelip yazmak baya yorar :27:
 
Canım inan ki çalışıyorum ertesi gün unutuyorum, ne zormuş Osmanlı tarihi :50:
Atatürk'ten sonrasını anlıyorum, aklımda da kalıyor, ama nedir bu Osmanlıya karşı önyargım. Zaten derse başlarken kesin aklımda tutamam diye başlamıştım. Sınava bir ay kala falan hocanın tutturduğu notları okumayı düşünüyorum. Başka türlü olmayacak. Bi de bol soru çözmek lazım işte :10:
Yazarak çalışmak vakit kaybettircek bana, zaten derste yazıyorum. Bi de eve gelip yazmak baya yorar :27:

ön yargı bende de var :50: bu sene zaten kulla beraber çok zorlanıyorum :43: hepimiz için hayırlısı olsun canım :16: ben de bol soru çözeyim de belki yapamadıklarımı çözümünden okuyunca öğrenirim diyorum ama bakalım :27:
 
ön yargı bende de var :50: bu sene zaten okulla beraber çok zorlanıyorum :43: hepimiz için hayırlısı olsun canım :16: ben de bol soru çözeyim de belki yapamadıklarımı çözümünden okuyunca öğrenirim diyorum ama bakalım :27:

kolay gelsin kızlar bu hafta tarih haftamız sanırım ben de dün tüm tarih kitaplarımı önüme serdim :4:
 
Back
X