Eki Görüntüle 361855
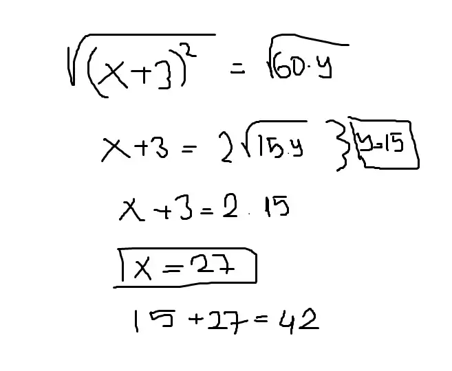
en küçük dediği için kökten kurtarmak için 15 ile çarpmam gerekiyordu yani y=15 oldu.
|x-3|=3-x
|5-y|=5-y Olduguna göre x+y toplamının alabileceği en büyük deger kaçtır?
30 buldum ben :44:
ilahi ne desem bilemedim şimdi
rica ederim :)Tesekkur ederim canim
hiç emin değilim ama 6 buldum :2:
yaa kızlar benim ders çalışırken acayip uykum geliyor.psikolojik olarak kitliyorum kendimi galiba. :S çay kahve kar etmiyor.gene geldi valla. :S
yaa kızlar benim ders çalışırken acayip uykum geliyor.psikolojik olarak kitliyorum kendimi galiba. :S çay kahve kar etmiyor.gene geldi valla. :S
quiet yaaaa
Allah senin iyiliğini versin tamam anladık mutlak yapmışsın bi sürügitmiş mesaj
aynen ya kendimi aştım valla gözününe gözünüze sokuyom işte yaptım diye
Ah benm güzel arkadaşım inşallah hep devam eder bu başarınn
yok tatlım ya nerdeeeee mutlakta ebob ekokta işte bazen geliyolarda çözüyom yoksa ı ı yani
canım çok uzatmışsın gerek yok.çözüm:
evet haklısın ama alışkanlık yaptı ben de..:SCanım bu psikolojik bişi sanırım bişiler bulmalısın
Masada çalış mutlaka madem böle bi sorunun varsa.
Bide 45 dakikada bi 5 dakikalık filan mola ver
hep matematik çözeceğim o zaman :)Uykugelince sevdiğin derse geç biraz belki etkili olur
Nirden hatırlattın şu ebobu ekoku yahu
Benim bugün bunların konusunu çalışmam lazım nası yapcaz
canım çok uzatmışsın gerek yok.çözüm:
x<3
y<5
-------
x+y<8 x+y=7
negatif olarak çıkardığımızda eksiyle çarpıyoruz.neg olması için 3 den küçük bir sayı olmalı.gene aynı mantıkla içi pozitif olan olduğu gibi çıkar yani y<5 olmalı.alt alta topla ve bitti :)
We use cookies and similar technologies for the following purposes:
Do you accept cookies and these technologies?
We use cookies and similar technologies for the following purposes:
Do you accept cookies and these technologies?