Genel Yetenek- Genel Kültür Soru çözümleri...

1 )

2[SUP]x[/SUP]= 8[SUP]y+1[/SUP] ve 9[SUP]y[/SUP]=3[SUP]x-9[/SUP]olduğuna göre x+y =? cevap : 27

tabanlar esıt oldugu ıcın,üsler de eşit olur

x=3y+3
2y=x-9..x'i yalnız bırakırsam x=2y+9..
3y+3=2y+9.....y=6
x=(3.6)+3
x=21

x+y=27 umarım anlatabilmişimdir.

saol tatlım çok iyi anlatmışsın :16:
 
Son düzenleme:
2)

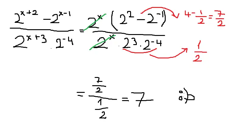
2[SUP]x+2[/SUP]-2[SUP]x-1 [/SUP]pay


2[SUP]x+3[/SUP].2[SUP]-4 [/SUP]payda

ifadesinin en sade şekli cevap :7
[/QUOTE]

$soru 2.webp $soru 2.webp
 
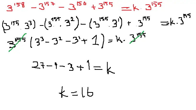
4) 3[SUP]158[/SUP]-3[SUP]157[/SUP]-3[SUP]156[/SUP]+3[SUP]155[/SUP]=k.3[SUP]155[/SUP]

eşitliğinde k nın değeri kaçtır ? cevap : 16

$soru 4.webp
 
11 )

27[SUP]3[/SUP]+27[SUP]3[/SUP]27[SUP]3[/SUP]+27[SUP]3[/SUP]... >>> 9 tane ifadesinin üçte biri kaçtır ? cevap : 3[SUP]10 [/SUP]( ben 3[SUP]11[/SUP]buluyorum nerede hata yapıyorum:25:)

soruyu çözdüm kızlar hatamı farkettim :1:

27[SUP]3[/SUP] (9) / 3 = (3[SUP]3[/SUP])[SUP]3 [/SUP]. 3[SUP]2 / 3 [/SUP]

= 3[SUP]9 . [/SUP]3[SUP]2[/SUP].3[SUP]-1 = [/SUP]3[SUP]9+2-1 [/SUP]= 3[SUP]​10[/SUP]
 
14 )

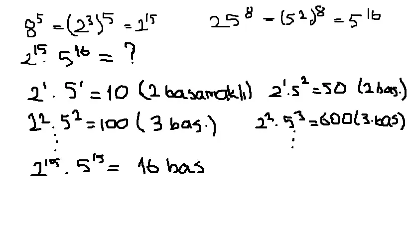
2[SUP]435[/SUP] . 5 [SUP]437[/SUP] sayısının rakamları toplamı =? cevap : 7

kızlar bu soruyu da şu şekilde çözdüm doğru yolla mı çözdüm yoksa tesadüfmü bi bakarmısınız ?

2[SUP]435 [/SUP]. 5[SUP]435[/SUP] . 5[SUP]2 [/SUP] = 2[SUP]435 [/SUP]. 5[SUP]435[/SUP] .25 üstler birbrini götürse .. 2.5.25 = 250 kalır

2+5+0 = 7
 
Ben soru sormasam da hep sözel çözüyorum matematik çözünce suçluluk hissediyorum sanki zaman kaybı gibi geliyor :1: Arada burda cevap yazarsam o soruları çözmüş oluyorum sadece :1:

Benim bi yerler çarşafa dolandı zaten hangisine çalışırsam çalışayım suçluluk duyuyorum.
aöf den 6 ders kpss den 5 ders maşallah maratona sokmaya pek meraklı bizim ülkenin sitemleri.
yıllardır sınav. daha ne olduğunu biilmediğimiz türlü türlü sınav var Türkiye de
 
17 )
2[SUP]x+1[/SUP] = a ve 4[SUP]3x-1 [/SUP] = a[SUP]2 [/SUP]old göre x=? cevap : 1

16)


2[SUP]x.[/SUP]5[SUP]x[/SUP] = 0,1 . (10[SUP]x-1[/SUP])[SUP]5[/SUP] x =? cevap : 3/2

15 )

5[SUP]n-7 [/SUP]+ 5[SUP]n-7 [/SUP]​+ 5[SUP]n-7 [/SUP]​+ 5[SUP]n-7 [/SUP]​+ 5[SUP]n-7 [/SUP]​+ = 5[SUP]5[/SUP][SUP]n-2 [/SUP]​olduğuna göre n kaçtır ? cevap :-1

13)

nE Z old. göre ;

(-2[SUP]-1[/SUP]) [SUP]-2n[/SUP] . (-4)[SUP]1-2n [/SUP]. (4)[SUP]n+1[/SUP] ifadesinin eşiti =? cevap :-16

12)

(27 /64 )[SUP]5x-1[/SUP] > (9/16) [SUP]6x-3[/SUP] eşitsizliğini sağlayan en büyük x tam sayı değeri =? cevap : -2

10 )
3[SUP]b[/SUP]=2
18[SUP]n[/SUP]=27 olduğuna göre a nın b cinsinden değeri =? cevap : 3 / b+2

9)


3[SUP]a[/SUP]+3[SUP]a-1[/SUP]+3[SUP]a-2[/SUP] / 2[SUP]a[/SUP] + 2[SUP]a-1[/SUP]+2[SUP]a-2[/SUP]​ = 13/7 ise a =? cevap :2

6)
x= 3[SUP]a[/SUP]+2
y=3[SUP]1-a[/SUP]-1 ise y'nin x türünden eşiti ? cevap :5-x / x-2

7) 1 / 5[SUP]x-3[/SUP] = 137 ise x hangi iki tam sayı arasındadır ? cevap :-1<x<0

8) 3[SUP]n[/SUP]=8 ve 2[SUP]m[/SUP]&#8203;= 81 n.m =? cevap :12

ahhhh ahhhh :31: :31: :31:
 
Back
X