geometri çalışmıyorum ama bir bakyım dedim canım cevaplar
1/a
2/benzerlik sanırım hatırlamıyorum
3/d
4/c
5/c
6/alan hatırlamıyorum
söylediklerim içinde doğru olan varsa cevapları atayım
linki burdan atıyorum arkadaşlar özel mesaj için gereken sayıyı doldurmamışım.bu sitenin ygs-lys bölümü oldukça aktif bir çok sorunuza cevap bulabilirsiniz.
http://forum.donanimhaber.com/m_76825780/f_/key_ygs,lys+soru+sorma//tm.htm#76842999
G4mze hangi bölümde okuyorsun şuan ?
bilgisayardan girince atarım canim
linki burdan atıyorum arkadaşlar özel mesaj için gereken sayıyı doldurmamışım.bu sitenin ygs-lys bölümü oldukça aktif bir çok sorunuza cevap bulabilirsiniz.
http://forum.donanimhaber.com/m_76825780/f_/key_ygs,lys+soru+sorma//tm.htm#76842999
Makine mühendisligi canim
Teşekkür ederim, çözemediğim sorulardan eksik bırakmak istemiyorum bırakınca sonraya problem oluyor.
Teşekkürleer :)
Hmm bölümünde güzelmiş canım ama mimarlık daha da güzel tabi :) başarılar canım inşallah kazanırsın itü mimarlığı :)
inşallah tatlım. zaten sıkıntım bölümde değildi şehir ve üniyle(daha doğrusu insanlarla) idi. İtü mimarlık hedefimdi fakat benim yaş küçük 2 yıl erken başlamıştım o yüzden gitmek istemiyordum ilk yıldan alışamam diye 16 yaşındaydım sonuçta lise sonda diğer sene hazırlanıcam diye nerdeyse hiç çalışmadım en fazla 1 tane mat 1 kitabı bitirmiştim lys zaten hiç yoktu mat2 sınavının yarısında uyumuşum hattafeni de 10ar dk da bitti rastgele isaretledim anlayacağın loto oynadım adeta (ailem laf etmesin gitmedin yaktın bir yılını falan diye kötü yapmak istedim sınavları ki bir yıl hazırlanmama izin versinler ) sonuçlar açıklandı 70k gelmiş bana göre felaket bir sonuçtu bizimkilerde razı gelmişti hazırlanmama ama o zamanlar olan bir takım ailesel ve özel konulardan ötürü yaşadığım yerden kaçmak gitmek istedim tercihlerin son 1 yada 2 saatiydi tek tercih yazdım o da şansıma geldi 
Baya şanslısın valla ya :) ama işte insanların hedefi farklı :) inşallah bu sefer mimarlık olurda hem yaşında geldi artık istediğin hedefin olan yeri bitirirsin. mimarlık çok güzel ya gerçekten başarılar canım. 16 yaşında üniverisiteli olmak ta güzel amaanadolu lisesi mi bitirdin canım ? temelin baya sağlammış hiç çalışmadan kazandığına göre :) valla harika bu seferde kazanacağına eminim :) başarılar. 
yok canım hiç güzel değil gerçekten kendi çocuğumu 18den önce göndermem ben üniye falan. anadolu öğretmen lisesi mezunuyum canım
canım ya biraz geç oldu inşallah sorun k.bakmazsın acilen istanbula gitmek zorunda kaldık dedem kanser kötülemiş son bir kez çocuklarımı göreyim demiş o yüzden giremedim bilgisayardan telefondakileri atayım ben sana hiç yoktan iyidir sen kalanların cevaplarını da yaz çok kalabalık burası şimdi olr da fırsatım olursa çözer atarım
Eki Görüntüle 753373 Eki Görüntüle 753374
İLK SORUDA KARE DEMİŞİM DİKDÖRTGEN OLACAK O
teşekkür ederim canım söz vermiştim sözden dönmek yakışmaz hazır fırsatım varken atayım dedimÇok geçmiş olsun, bu durumda bir de sorularla uğraşmışsın çok teşekkür ederim.
İlk soruda çözüm aklıma gelmemişti ama 2. soruda direk kuralı bilmiyormuşum öğrendiğim iyi oldu teşekkür ederim .
Soruların cevaplarını da yazayım ..
1- a
2- c
3- d
4- c
5- c
6- d
Ben yaşamadığım için güzel geliyor valla :) ama zorlukları çoktur tabi ya. yaşıtların neredeyse lise 2, lise 3te falanken sen üniversiteye başlamışsın. bi yandan güzel bi yandan da kötü tabi. ama olsun deneyim kazandın. şimdi tam içine sine sine yaşarsın üniversite hayatını :)
inşallah canım tutsun da çilesini çekmeye razıyım
teşekkür ederim canım söz vermiştim sözden dönmek yakışmaz hazır fırsatım varken atayım dedim
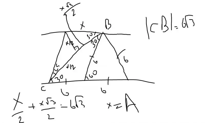
1 a mıymış yanlış demiştin o yüzden atmadım Sketch Toy: Draw sketches and share replays with friends! Eki Görüntüle 753745
bende senin gibi yapmayı düşünüyorum canım fem simetri aldım her dersten konu çalışmak için bir kaç güne başlıyacağım çalışmaya sende mf misin dershane düşünüyormusun?
Canım ben Eşit Ağırlığım :)
Dershaneye gitmeyi düşünmüyorum.
Okul-dershane ikisi birden çok ağır gelir.
Kafamda bir plan var ona göre hareket etmeyi düşünüyorum.
Sen düşünüyor musun?
bende düşünmüyorum çünkü okulla aynı anda yürütemembuarada özel mesaj atamıyorum ondan cevap yazamadım sana. 
We use cookies and similar technologies for the following purposes:
Do you accept cookies and these technologies?
We use cookies and similar technologies for the following purposes:
Do you accept cookies and these technologies?